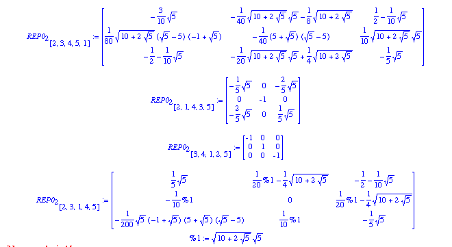
Representation dim3b of group A
5
The group
A
5
consists of all elements of the form g
1
a
g
2a
b
g
2b
c
g
3
d
where g
1
=[2,3,1,4,5], g
2a
=[2,1,4,3,5], g
2b
=[3,4,1,2,5], and g
3
=[2,3,4,5,1].
Below are the values of representation dim3b on these elements: